
高校数学 因数分解 分数が登場する式を因数分解する方法 わかりやすく解説します 数学の面白いこと 役に立つことをまとめたサイト

因数分解に慣れよう 後編 インターネット家庭教師のアスミラ
因数分解のやり方 公式と解き方のコツ教えます 高校レベルまで対応 Studyplus スタディプラス
因数 分解 とは のギャラリー

積と和を考える因数分解

テスティーの中学範囲数学 中3 第1章 多項式の計算 テスティー

高次方程式のまとめ 解き方 因数分解 理系ラボ

因数分解 効率良い復習 テクニックで勉強 テストが楽しくなるブログ

因数分解は慣れと記憶が肝心 今日の1問

中学3年数学 因数分解 因数分解をわかりやすく解説 高校入試出題率100 数学の面白いこと 役に立つことをまとめたサイト

因数分解の問題の解き方とコツ 2乗 3乗公式とたすきがけ アタリマエ

中学数学 因数分解の2つの公式の覚え方 Qikeru 学びを楽しくわかりやすく

数学 質問解答 3文字 の因数分解 パート1 高校数学 数a 因数分解 質問ありがとうございました 行間 ぎょうのあいだ 先生

因数分解の問題の解き方とコツ 2乗 3乗公式とたすきがけ アタリマエ

展開 因数分解は1時間で解けるようになる 外資系コンサルタントが主夫になったら

数学 質問解答 高校生の因数分解2 2つの文字を含んだ式 高校数学 数a 因数分解 行間 ぎょうのあいだ 先生

展開 因数分解 ができると見える世界 6月15日 月 メンター Daisuke 教育 クラフトビール 読書 子育て ビシネス 精神病 Note

素因数分解のやり方 5つのステップで分かる素因数分解問題の解き方とコツ アタリマエ

多項式 2 展開と因数分解 バカでもわかる 中学数学

デザインにおける因数分解 Koji S Diary いつも気分はkoji中
4gr2ad9qt6s Com E5 9b A0 E6 95 B0 E5 86 E8 A3

素因数分解 無料で使える中学学習プリント

数と式 因数分解にはコツがある 因数分解の手順の見つけ方について 日々是鍛錬 ひびこれたんれん

因数分解 効率良い復習 テクニックで勉強 テストが楽しくなるブログ

高校数学 因数分解 2次式の因数分解をなるべく公式に頼らず解く方法 数学の面白いこと 役に立つことをまとめたサイト

素因数分解とは 素因数分解のやり方を練習問題と解説でマスターしよう 高校生向け受験応援メディア 受験のミカタ

因数分解 共通因数 Youtube
Q Tbn 3aand9gcrncx15b3tj7hy E2s4jzinolhpazjal6ltrw Vb2gc8amxqenx Usqp Cau

因数分解のやり方がわからない人必見 公式や解き方のコツをわかりやすく紹介 高校生向け受験応援メディア 受験のミカタ

素因数分解のやり方のコツとは 応用問題3選も簡単に解けます 遊ぶ数学
因数分解 Wikipedia
Q Tbn 3aand9gctxaqvec5kwbbeo Alblrkqx2ohkki94f Qmjh15ollcs3eqbzf Usqp Cau

高校数学 複数の文字を含む因数分解は最も次数が低い文字で整理せよ 受験の月

式と証明 3次式の因数分解について 日々是鍛錬 ひびこれたんれん
因数分解のやり方 公式と解き方のコツ教えます 高校レベルまで対応 Studyplus スタディプラス

Studydoctor2乗の因数分解 中3数学 Studydoctor

素因数分解で平方因数を外に すうがくのいえ

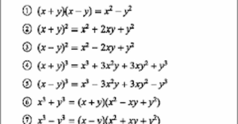
展開 と 因数分解 の4つの基本公式

中学数学 多項式 の教え方 因数分解

改訂版 3trial数学 P14 3 因数分解 練習問題
因数分解のやり方 公式と解き方のコツ教えます 高校レベルまで対応 Studyplus スタディプラス

高校数学 因数分解公式と3次式の因数分解 A B C 3abc 受験の月

簡単計算 素因数分解のやり方 解き方がわかる5ステップ Qikeru 学びを楽しくわかりやすく

高校数学a 素因数分解とは 映像授業のtry It トライイット

中3数学 因数分解とは 例題編 映像授業のtry It トライイット

因数とは 1分でわかる意味 因数の例と見つけ方 30との因数 素数との違い

数学 中3 6 因数分解 Youtube

中学数学 因数分解の簡単な解き方がわかる3つのステップ Qikeru 学びを楽しくわかりやすく

因数分解

3乗の因数分解 展開 公式 理系ラボ

数学 因数分解の公式

因数分解とは 公式や計算のやり方 問題の解き方 受験辞典

因数分解の計算パターン 数学教材

因数分解の公式のまとめ 中学生はこのパターンを覚えておこう 中学や高校の数学の計算問題

素因数分解のやり方 Youtube

二次方程式 因数分解を利用した解き方を例題解説 数スタ

高校数学 数 11 因数分解 3次式の公式編 Youtube

たすき掛け因数分解

高校数学 因数分解 解の公式を使ってルートが登場する因数分解を解けるようになろう 数学の面白いこと 役に立つことをまとめたサイト
Q Tbn 3aand9gcrncx15b3tj7hy E2s4jzinolhpazjal6ltrw Vb2gc8amxqenx Usqp Cau

多項式の因数分解 数学教材

因数分解のコツ 式の計算 中学生からの質問 数学 進研ゼミ中学講座 ベネッセコーポレーション

中3数学 因数分解の解き方 Examee

中学数学 因数分解の解き方と練習問題 Irohabook

数学ii Bチェック リピート 第1章 1式と証明 1 3次式の展開 因数分解 Pukiwiki

素因数分解の簡単な方法 計算機 数学fun

因数分解とは 公式や計算のやり方 問題の解き方 受験辞典

3次式の因数分解 公式とやり方について問題を使って解説 数スタ

因数分解 中学数学に関する質問 勉強質問サイト

中学数学 式の展開 因数分解

因数分解とは コトバンク

数学の高次方程式問題 解き方のコツ 公式 スタディサプリ大学受験講座

中学数学 因数分解 乗法公式 中学数学の無料オンライン学習サイトchu Su

因数分解を学んだ僕たちが手にした圧倒的スキル Naoki Note

因数分解の意味 問題の解き方 数学fun
因数分解のやり方 公式と解き方のコツ教えます 高校レベルまで対応 Studyplus スタディプラス

式の計算 複雑な因数分解のコツ 中学生からの質問 数学 進研ゼミ中学講座 ベネッセコーポレーション

因数分解とは 公式や計算のやり方 問題の解き方 受験辞典

180を因数分解して指数で表してください お願いします 180を因数分 中学校 教えて Goo

解の公式を使った因数分解 高校数学に関する質問 勉強質問サイト
因数分解 あかしやさかい 流れ板英二郎 ただいま修行中
Q Tbn 3aand9gctb1bhmatpir9ynqm64thln9t8l3co8txfbj53zldpziedjjuws Usqp Cau

因数分解の公式まとめ一覧とその活用例 アタリマエ

好き の因数分解 最果 タヒ 本 通販 Amazon

数学ia 因数分解の難問も簡単に解ける計算のやり方 たすき掛けも解説 Himokuri

因数分解の問題 開成高 東久留米 学習塾 塾長ブログ

複数の文字の因数分解は次数の低いものについて整理せよ 数学の偏差値を上げて合格を目指す
因数分解のやり方 公式と解き方のコツ教えます 高校レベルまで対応 Studyplus スタディプラス

3次式 4次式の因数分解と高次方程式の解法 数学の偏差値を上げて合格を目指す

因数分解難問と意外な別解 怜悧玲瓏 高校数学を天空から俯瞰する

因数分解の公式と主な出題パターンと解き方 おいしい数学

中3数学 式の計算 素因数分解と因数分解 中学生 数学のノート Clear

因数分解

因数分解の問題の解き方とコツ 2乗 3乗公式とたすきがけ アタリマエ

今年も因数分解コンクール 最近の出来事 英国 イギリス留学生へのキリスト教に基づく全人教育 立教英国学院 Rikkyo School In England

因数分解 4 スーパーたすきがけ 怜悧玲瓏 高校数学を天空から俯瞰する

因数分解 共通因数でくくる Youtube

折り紙因数分解 胸におちるようにわかるということ 新 学力への挑戦 楽天ブログ

乗法公式 因数分解公式 数学 数と式 数学公式まとめ大全

因数分解を理解しよう 数学嫌いな子のための簡単理解法 分かりにくいを分かりやすいに

数学好きから見た量子コンピュータ 57を因数分解した話

因数分解のやり方がわからない人必見 公式や解き方のコツをわかりやすく紹介 高校生向け受験応援メディア 受験のミカタ

โน ตของ 乗法公式 因数分解公式 ช น Junior High数学 Clear

因数分解とは 1分でわかる意味 公式の一覧 問題 たすきがけのやり方

素因数分解とは 素因数分解のやり方を練習問題と解説でマスターしよう 高校生向け受験応援メディア 受験のミカタ



